线上av
线上av
线上av概况
线上av动态
二级企业概况
线上av公开
党建之窗
三明实践
联系我们
线上av公开
Information disclosure
通 知
招投标
采购询价
人才招聘
通知
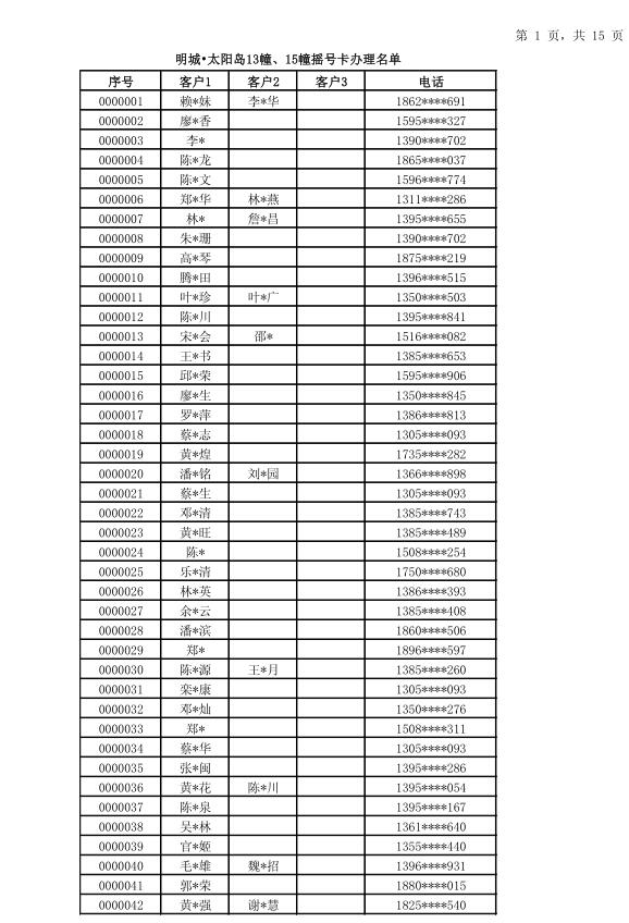
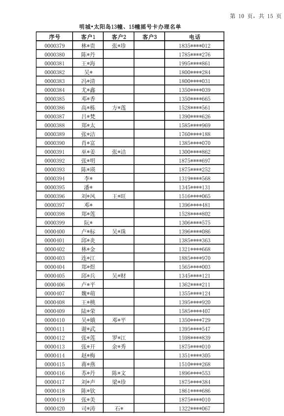
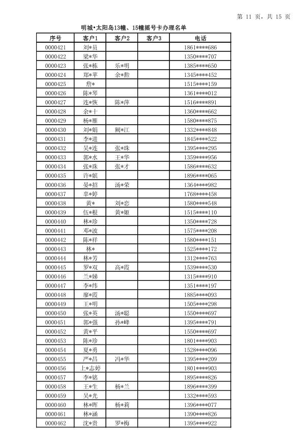
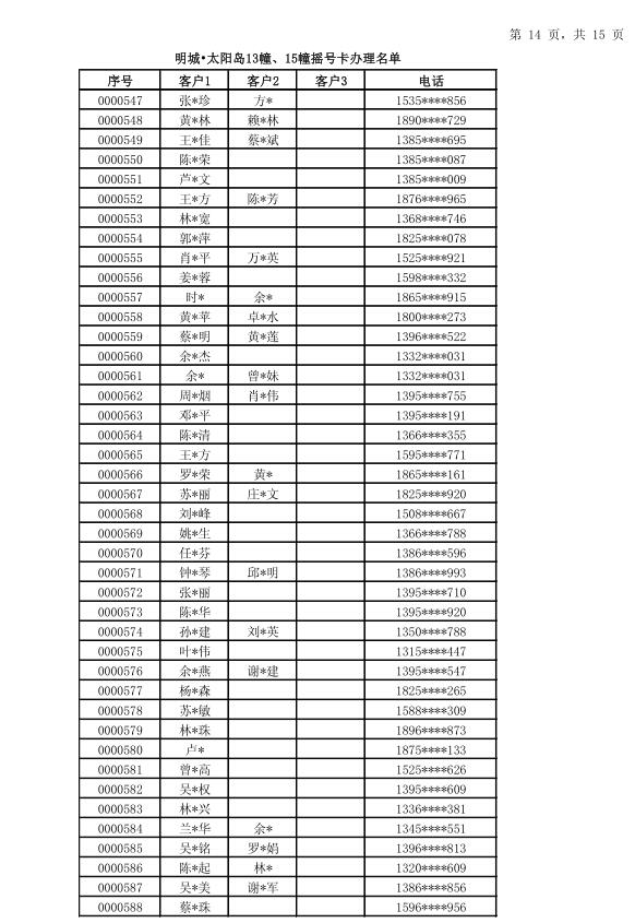
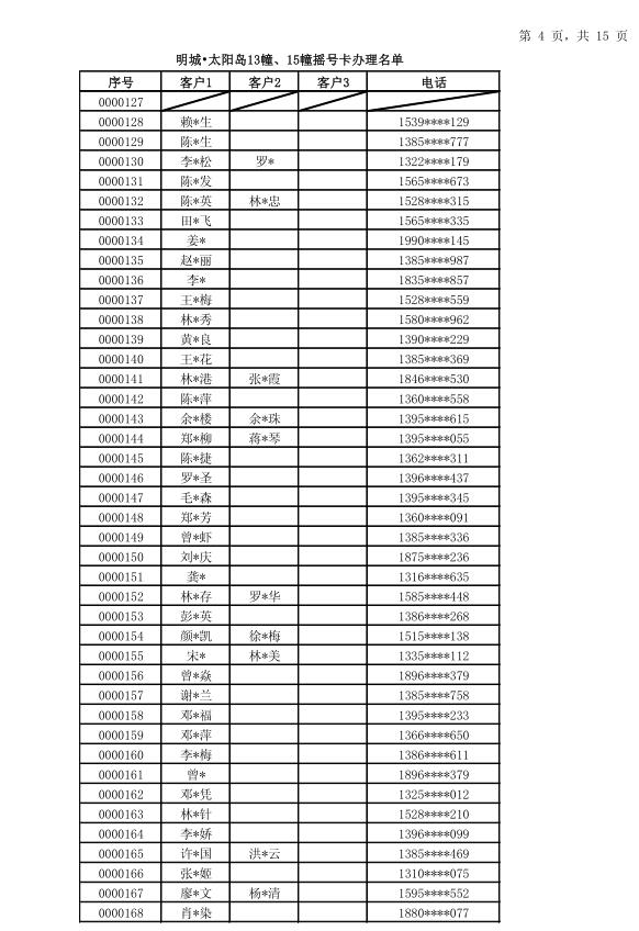
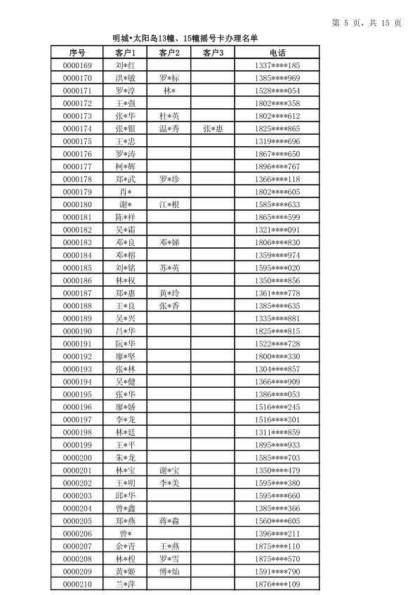
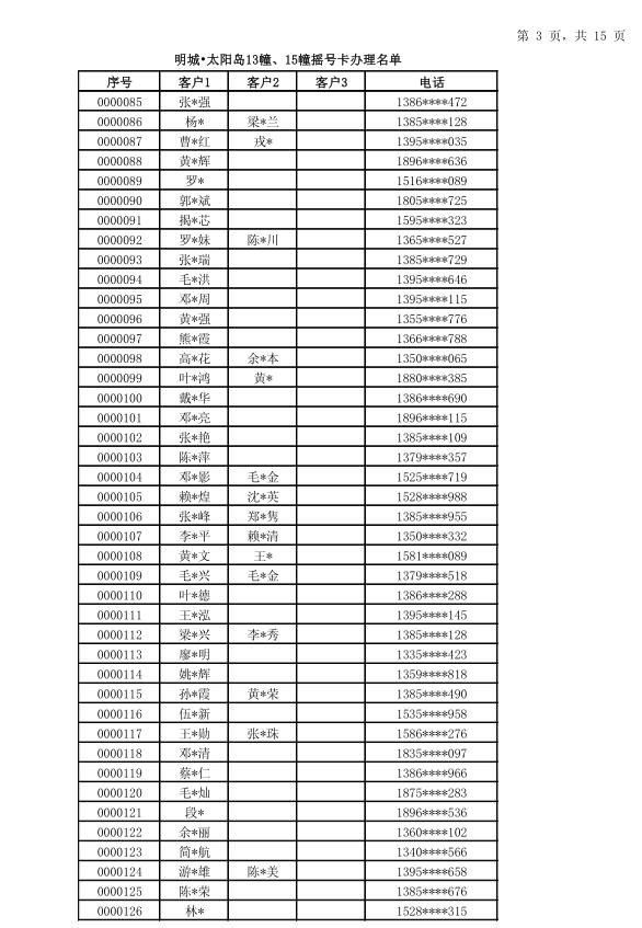
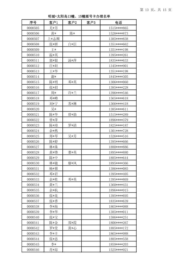
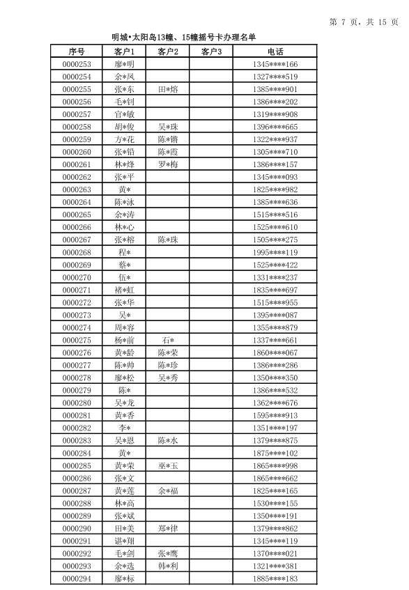
明城·太阳岛13幢15幢开盘“摇号卡办理名单”公示
发布时间:2020-01-13 11:02:00 阅读:10451
上一篇:
明城太阳岛开盘方案
下一篇:
明城·太阳岛13幢15幢开盘摇号卡中签名单公示